# HCA human bone marrow (10X Genomics) ## Introduction Here, we use an example dataset from the [Human Cell Atlas immune cell profiling project on bone marrow](https://preview.data.humancellatlas.org), which contains scRNA-seq data for 380,000 cells generated using the 10X Genomics technology. This is a fairly big dataset that represents a good use case for the techniques in [Advanced Chapter 14](http://bioconductor.org/books/3.23/OSCA.advanced/dealing-with-big-data.html#dealing-with-big-data). ## Data loading This dataset is loaded via the *[HCAData](https://bioconductor.org/packages/3.23/HCAData)* package, which provides a ready-to-use `SingleCellExperiment` object. ``` r library(HCAData) sce.bone <- HCAData('ica_bone_marrow', as.sparse=TRUE) sce.bone$Donor <- sub("_.*", "", sce.bone$Barcode) ``` We use symbols in place of IDs for easier interpretation later. ``` r library(EnsDb.Hsapiens.v86) rowData(sce.bone)$Chr <- mapIds(EnsDb.Hsapiens.v86, keys=rownames(sce.bone), column="SEQNAME", keytype="GENEID") library(scater) rownames(sce.bone) <- uniquifyFeatureNames(rowData(sce.bone)$ID, names = rowData(sce.bone)$Symbol) ``` ## Quality control Cell calling was not performed (see [here](https://s3.amazonaws.com/preview-ica-expression-data/Brief+ICA+Read+Me.pdf)) so we will perform QC using all metrics and block on the donor of origin during outlier detection. We perform the calculation across multiple cores to speed things up. ``` r library(BiocParallel) bpp <- MulticoreParam(8) sce.bone <- unfiltered <- addPerCellQC(sce.bone, BPPARAM=bpp, subsets=list(Mito=which(rowData(sce.bone)$Chr=="MT"))) qc <- quickPerCellQC(colData(sce.bone), batch=sce.bone$Donor, sub.fields="subsets_Mito_percent") sce.bone <- sce.bone[,!qc$discard] ``` ``` r unfiltered$discard <- qc$discard gridExtra::grid.arrange( plotColData(unfiltered, x="Donor", y="sum", colour_by="discard") + scale_y_log10() + ggtitle("Total count"), plotColData(unfiltered, x="Donor", y="detected", colour_by="discard") + scale_y_log10() + ggtitle("Detected features"), plotColData(unfiltered, x="Donor", y="subsets_Mito_percent", colour_by="discard") + ggtitle("Mito percent"), ncol=2 ) ```
Distribution of QC metrics in the HCA bone marrow dataset. Each point represents a cell and is colored according to whether it was discarded.

(\#fig:unref-hca-bone-qc)Distribution of QC metrics in the HCA bone marrow dataset. Each point represents a cell and is colored according to whether it was discarded.

``` r plotColData(unfiltered, x="sum", y="subsets_Mito_percent", colour_by="discard") + scale_x_log10() ```
Percentage of mitochondrial reads in each cell in the HCA bone marrow dataset compared to its total count. Each point represents a cell and is colored according to whether that cell was discarded.

(\#fig:unref-hca-bone-mito)Percentage of mitochondrial reads in each cell in the HCA bone marrow dataset compared to its total count. Each point represents a cell and is colored according to whether that cell was discarded.

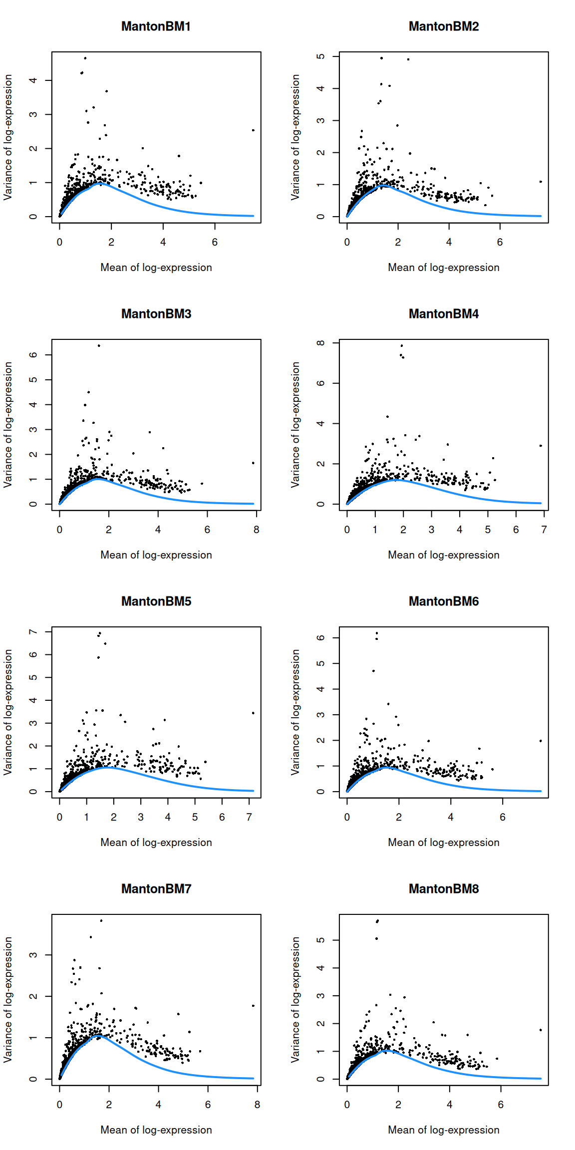
## Normalization For a minor speed-up, we use already-computed library sizes rather than re-computing them from the column sums. ``` r sce.bone <- logNormCounts(sce.bone, size_factors = sce.bone$sum) ``` ``` r summary(sizeFactors(sce.bone)) ``` ``` ## Min. 1st Qu. Median Mean 3rd Qu. Max. ## 0.0489 0.4699 0.6479 1.0000 0.8893 42.3813 ``` ## Variance modeling We block on the donor of origin to mitigate batch effects during HVG selection. We select a larger number of HVGs to capture any batch-specific variation that might be present. ``` r library(scran) set.seed(1010010101) dec.bone <- modelGeneVarByPoisson(sce.bone, block=sce.bone$Donor, BPPARAM=bpp) top.bone <- getTopHVGs(dec.bone, n=5000) ``` ``` r par(mfrow=c(4,2)) blocked.stats <- dec.bone$per.block for (i in colnames(blocked.stats)) { current <- blocked.stats[[i]] plot(current$mean, current$total, main=i, pch=16, cex=0.5, xlab="Mean of log-expression", ylab="Variance of log-expression") curfit <- metadata(current) curve(curfit$trend(x), col='dodgerblue', add=TRUE, lwd=2) } ```
Per-gene variance as a function of the mean for the log-expression values in the HCA bone marrow dataset. Each point represents a gene (black) with the mean-variance trend (blue) fitted to the variances.

(\#fig:unref-hca-bone-var)Per-gene variance as a function of the mean for the log-expression values in the HCA bone marrow dataset. Each point represents a gene (black) with the mean-variance trend (blue) fitted to the variances.

## Data integration Here we use multiple cores, randomized SVD^[The randomized SVD may give slightly different results on different systems, so the MNN-corrected values may themselves vary across systems.] and approximate nearest-neighbor detection to speed up this step. ``` r library(batchelor) library(BiocNeighbors) set.seed(1010001) merged.bone <- fastMNN(sce.bone, batch = sce.bone$Donor, subset.row = top.bone, BSPARAM=BiocSingular::RandomParam(deferred = TRUE), BNPARAM=AnnoyParam(), BPPARAM=bpp) reducedDim(sce.bone, 'MNN') <- reducedDim(merged.bone, 'corrected') ``` We use the percentage of variance lost as a diagnostic measure: ``` r metadata(merged.bone)$merge.info$lost.var ``` ``` ## MantonBM1 MantonBM2 MantonBM3 MantonBM4 MantonBM5 MantonBM6 MantonBM7 ## [1,] 0.007133 0.006508 0.000000 0.000000 0.000000 0.000000 0.000000 ## [2,] 0.006314 0.006883 0.023528 0.000000 0.000000 0.000000 0.000000 ## [3,] 0.005117 0.003096 0.005115 0.019703 0.000000 0.000000 0.000000 ## [4,] 0.001991 0.001888 0.001890 0.001766 0.023451 0.000000 0.000000 ## [5,] 0.002391 0.001914 0.001735 0.002805 0.002563 0.023692 0.000000 ## [6,] 0.003053 0.003180 0.002958 0.002522 0.003211 0.003342 0.024807 ## [7,] 0.001826 0.001591 0.002290 0.001881 0.001473 0.002174 0.001908 ## MantonBM8 ## [1,] 0.00000 ## [2,] 0.00000 ## [3,] 0.00000 ## [4,] 0.00000 ## [5,] 0.00000 ## [6,] 0.00000 ## [7,] 0.03235 ``` ## Dimensionality reduction We set `external_neighbors=TRUE` to replace the internal nearest neighbor search in the UMAP implementation with our parallelized approximate search. We also set the number of threads to be used in the UMAP iterations. ``` r set.seed(01010100) sce.bone <- runUMAP(sce.bone, dimred="MNN", external_neighbors=TRUE, BNPARAM=AnnoyParam(), BPPARAM=bpp, n_threads=bpnworkers(bpp)) ``` ## Clustering Graph-based clustering generates an excessively large intermediate graph so we will instead use a two-step approach with $k$-means. We generate 1000 small clusters that are subsequently aggregated into more interpretable groups with a graph-based method. If more resolution is required, we can increase `centers` in addition to using a lower `k` during graph construction. ``` r library(bluster) set.seed(1000) colLabels(sce.bone) <- clusterRows(reducedDim(sce.bone, "MNN"), TwoStepParam(KmeansParam(centers=1000), NNGraphParam(k=5))) table(colLabels(sce.bone)) ``` ``` ## ## 1 2 3 4 5 6 7 8 9 10 11 12 13 ## 18859 15812 36360 47699 26528 10869 65650 18584 35321 8009 14930 3601 4206 ## 14 15 16 ## 3155 4824 2318 ``` We observe mostly balanced contributions from different samples to each cluster (Figure \@ref(fig:unref-hca-bone-ab)), consistent with the expectation that all samples are replicates from different donors. ``` r tab <- table(Cluster=colLabels(sce.bone), Donor=sce.bone$Donor) library(pheatmap) pheatmap(log10(tab+10), color=viridis::viridis(100)) ```
Heatmap of log~10~-number of cells in each cluster (row) from each sample (column).

(\#fig:unref-hca-bone-ab)Heatmap of log~10~-number of cells in each cluster (row) from each sample (column).

``` r # TODO: add scrambling option in scater's plotting functions. scrambled <- sample(ncol(sce.bone)) gridExtra::grid.arrange( plotUMAP(sce.bone, colour_by="label", text_by="label"), plotUMAP(sce.bone[,scrambled], colour_by="Donor") ) ```
UMAP plots of the HCA bone marrow dataset after merging. Each point represents a cell and is colored according to the assigned cluster (top) or the donor of origin (bottom).

(\#fig:unref-hca-bone-umap)UMAP plots of the HCA bone marrow dataset after merging. Each point represents a cell and is colored according to the assigned cluster (top) or the donor of origin (bottom).

## Differential expression We identify marker genes for each cluster while blocking on the donor. ``` r markers.bone <- findMarkers(sce.bone, block = sce.bone$Donor, direction = 'up', lfc = 1, BPPARAM=bpp) ``` We visualize the top markers for a randomly chosen cluster^[The exact cluster chosen varies across systems due to the MNN-corrected values themselves varying across systems.] using a heatmap in Figure \@ref(fig:unref-hca-bone-heatmap). The presence of upregulated genes like _LYZ_, _S100A8_ and _VCAN_ is consistent with a monocyte identity for this cluster. ``` r top.markers <- markers.bone[[cluster.choice]] best <- top.markers[top.markers$Top <= 10,] lfcs <- getMarkerEffects(best) library(pheatmap) pheatmap(lfcs, breaks=seq(-5, 5, length.out=101)) ```
Heatmap of log~2~-fold changes for the top marker genes (rows) of cluster 4 compared to all other clusters (columns).

(\#fig:unref-hca-bone-heatmap)Heatmap of log~2~-fold changes for the top marker genes (rows) of cluster 4 compared to all other clusters (columns).

## Cell type classification We perform automated cell type classification using a reference dataset to annotate each cluster based on its pseudo-bulk profile. This is faster than the per-cell approaches described in Chapter \@ref(cell-type-annotation) at the cost of the resolution required to detect heterogeneity inside a cluster. Nonetheless, it is often sufficient for a quick assignment of cluster identity, and indeed, cluster 4 is also identified as consisting of monocytes from this analysis. ``` r se.aggregated <- sumCountsAcrossCells(sce.bone, id=colLabels(sce.bone), BPPARAM=bpp) library(celldex) hpc <- HumanPrimaryCellAtlasData() library(SingleR) anno.single <- SingleR(se.aggregated, ref = hpc, labels = hpc$label.main, assay.type.test="sum") anno.single ``` ``` ## DataFrame with 16 rows and 4 columns ## scores labels delta.next pruned.labels ## ## 1 0.384401:0.751148:0.651234:... GMP 0.0913786 GMP ## 2 0.343557:0.567261:0.479100:... T_cells 0.4298632 T_cells ## 3 0.323043:0.647364:0.558334:... T_cells 0.0959201 T_cells ## 4 0.299294:0.745584:0.535751:... Monocyte 0.2935059 Monocyte ## 5 0.310761:0.672644:0.540285:... B_cell 0.6024293 B_cell ## ... ... ... ... ... ## 12 0.294203:0.707235:0.528198:... Monocyte 0.3586359 Monocyte ## 13 0.343741:0.731258:0.600058:... Monocyte 0.1019188 NA ## 14 0.369798:0.652467:0.582201:... B_cell 0.1976631 NA ## 15 0.378580:0.690882:0.781190:... MEP 0.0614135 MEP ## 16 0.333963:0.679341:0.559147:... GMP 0.1114087 GMP ``` ## Session Info {-}
``` R Under development (unstable) (2025-10-20 r88955) Platform: x86_64-pc-linux-gnu Running under: Ubuntu 24.04.3 LTS Matrix products: default BLAS: /home/biocbuild/bbs-3.23-bioc/R/lib/libRblas.so LAPACK: /usr/lib/x86_64-linux-gnu/lapack/liblapack.so.3.12.0 LAPACK version 3.12.0 locale: [1] LC_CTYPE=en_US.UTF-8 LC_NUMERIC=C [3] LC_TIME=en_GB LC_COLLATE=C [5] LC_MONETARY=en_US.UTF-8 LC_MESSAGES=en_US.UTF-8 [7] LC_PAPER=en_US.UTF-8 LC_NAME=C [9] LC_ADDRESS=C LC_TELEPHONE=C [11] LC_MEASUREMENT=en_US.UTF-8 LC_IDENTIFICATION=C time zone: America/New_York tzcode source: system (glibc) attached base packages: [1] stats4 stats graphics grDevices utils datasets methods [8] base other attached packages: [1] SingleR_2.13.0 celldex_1.21.0 [3] pheatmap_1.0.13 bluster_1.21.0 [5] BiocNeighbors_2.5.0 batchelor_1.27.0 [7] scran_1.39.0 BiocParallel_1.45.0 [9] scater_1.39.0 ggplot2_4.0.0 [11] scuttle_1.21.0 EnsDb.Hsapiens.v86_2.99.0 [13] ensembldb_2.35.0 AnnotationFilter_1.35.0 [15] GenomicFeatures_1.63.1 AnnotationDbi_1.73.0 [17] rhdf5_2.55.4 HCAData_1.27.0 [19] SingleCellExperiment_1.33.0 SummarizedExperiment_1.41.0 [21] Biobase_2.71.0 GenomicRanges_1.63.0 [23] Seqinfo_1.1.0 IRanges_2.45.0 [25] S4Vectors_0.49.0 BiocGenerics_0.57.0 [27] generics_0.1.4 MatrixGenerics_1.23.0 [29] matrixStats_1.5.0 BiocStyle_2.39.0 [31] rebook_1.21.0 loaded via a namespace (and not attached): [1] RColorBrewer_1.1-3 jsonlite_2.0.0 [3] CodeDepends_0.6.6 magrittr_2.0.4 [5] gypsum_1.7.0 ggbeeswarm_0.7.2 [7] farver_2.1.2 rmarkdown_2.30 [9] BiocIO_1.21.0 vctrs_0.6.5 [11] DelayedMatrixStats_1.33.0 memoise_2.0.1 [13] Rsamtools_2.27.0 RCurl_1.98-1.17 [15] htmltools_0.5.8.1 S4Arrays_1.11.0 [17] AnnotationHub_4.1.0 curl_7.0.0 [19] Rhdf5lib_1.33.0 SparseArray_1.11.1 [21] alabaster.base_1.11.1 sass_0.4.10 [23] bslib_0.9.0 httr2_1.2.1 [25] cachem_1.1.0 ResidualMatrix_1.21.0 [27] GenomicAlignments_1.47.0 igraph_2.2.1 [29] lifecycle_1.0.4 pkgconfig_2.0.3 [31] rsvd_1.0.5 Matrix_1.7-4 [33] R6_2.6.1 fastmap_1.2.0 [35] digest_0.6.37 dqrng_0.4.1 [37] irlba_2.3.5.1 ExperimentHub_3.1.0 [39] RSQLite_2.4.3 beachmat_2.27.0 [41] filelock_1.0.3 labeling_0.4.3 [43] httr_1.4.7 abind_1.4-8 [45] compiler_4.6.0 bit64_4.6.0-1 [47] withr_3.0.2 S7_0.2.0 [49] viridis_0.6.5 DBI_1.2.3 [51] alabaster.ranges_1.11.0 alabaster.schemas_1.11.0 [53] HDF5Array_1.39.0 rappdirs_0.3.3 [55] DelayedArray_0.37.0 rjson_0.2.23 [57] tools_4.6.0 vipor_0.4.7 [59] beeswarm_0.4.0 glue_1.8.0 [61] h5mread_1.3.0 restfulr_0.0.16 [63] rhdf5filters_1.23.0 grid_4.6.0 [65] cluster_2.1.8.1 gtable_0.3.6 [67] metapod_1.19.0 BiocSingular_1.27.0 [69] ScaledMatrix_1.19.0 XVector_0.51.0 [71] ggrepel_0.9.6 BiocVersion_3.23.1 [73] pillar_1.11.1 limma_3.67.0 [75] dplyr_1.1.4 BiocFileCache_3.1.0 [77] lattice_0.22-7 rtracklayer_1.71.0 [79] bit_4.6.0 tidyselect_1.2.1 [81] locfit_1.5-9.12 Biostrings_2.79.1 [83] knitr_1.50 gridExtra_2.3 [85] bookdown_0.45 ProtGenerics_1.43.0 [87] edgeR_4.9.0 xfun_0.54 [89] statmod_1.5.1 UCSC.utils_1.7.0 [91] lazyeval_0.2.2 yaml_2.3.10 [93] evaluate_1.0.5 codetools_0.2-20 [95] cigarillo_1.1.0 tibble_3.3.0 [97] alabaster.matrix_1.11.0 BiocManager_1.30.26 [99] graph_1.89.0 cli_3.6.5 [101] uwot_0.2.3 jquerylib_0.1.4 [103] dichromat_2.0-0.1 Rcpp_1.1.0 [105] GenomeInfoDb_1.47.0 dir.expiry_1.19.0 [107] dbplyr_2.5.1 png_0.1-8 [109] XML_3.99-0.19 parallel_4.6.0 [111] blob_1.2.4 sparseMatrixStats_1.23.0 [113] bitops_1.0-9 alabaster.se_1.11.0 [115] viridisLite_0.4.2 scales_1.4.0 [117] purrr_1.2.0 crayon_1.5.3 [119] rlang_1.1.6 cowplot_1.2.0 [121] KEGGREST_1.51.0 ```